-------------------------------
Mô hình này được phát triển những năm 90 của thế kỷ trước bởi Kealhofer, McQuown và Vasicek. Hiện tại tôi chưa thấy 1 bài nghiên cứu nào hoàn chỉnh về mô hình này ở Việt Nam, có lẽ bởi nhiều nguyên nhân. Đầu tiên là do khoản số liệu, số liệu dư nợ của từng DN là 1 loại số liệu nhạy cảm của NH mà muốn xin được cần có rất nhiều mối quan hệ, thứ hai là do mô hình này rất khó, ít nhất về mặt toán học và kinh tế lượng, đồng thời khi nghiên cứu về mô hình này cũng cần tìm hiểu về 1 số phần mềm chuyên dụng để giải toán như Matcad hay Matlap. Ở Việt Nam tôi search anh gúc về mô hình này thì chỉ dc vài kết quả có thể kể đến ở đây, đây, và đây, các bạn có thể tham khảo.
Trước hết xin nói qua về mô hình. Mô hình này có 2 giả định
Đầu tiên market value của công ty tuân theo quá trình ngẫu nhiên:
trong đó V_A là giá trị tài sàn của công ty (bao gồm cả liability), μ là lợi tức dự tính của V_A (ghép liên tục),
σ_A là độ biến động (volatility) của giá trị TS của công ty, dz là 1 quá trình Gauss-Wiener.
(chú ý: ko nên nhầm lẫn volatility với độ lệch chuẩn)
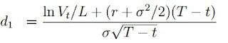
Giả định thứ 2 là công ty chỉ có 1 khoản vay hết hạn ở thời kỳ T. Dùng nguyên lý put-call parity và công thức Black-Scholes chúng ta sẽ có công thức xác định giá trị của firm's equity:
trong đó V_E là thị giá của vốn cổ phần, F là mệnh giá của khoản nợ ban đầu, r là lãi suất phi rủi ro, N là hàm phân phối chuẩn. d1 và d2 được xác định theo công thức:
Theo kết quả nghiên cứu của Shumway và Bharath (2004) thì mối liên hệ giữa độ biến động của asset value và equity value được biểu diễn qua công thức:
trong đó:
+ F là face value của khoản vay ban đầu, đây là số liệu sẵn có
+ r là lãi suất phi rủi ro, đây chính là mức lãi suất mà khi ta ghép lãi liên tục và chúng ta có công thức tính như sau: r = ln(1 + i). Ví dụ lãi suất cho vay i = 10%/năm thì r = ln(1+i) = 9.53%/năm
+ T là thời hạn khoản vay, tính theo năm, ví dụ vay trong 6 tháng thì T = 0.5
+ Ước lượng asset value (V_A) và độ biến động tài sản (σ_A)
cách tìm 2 biến này đó là chúng ta đi giải hệ phương trình gồm các phương trình là (2) và (3). Trước đây giải hệ này là 1 thách thức với những ai nghiên cứu về mô hình này, thậm chí nhiều người nghĩ ra cách để tránh né việc giải hệ này. Tuy nhiên với sự phát triển của các mathematical software như hiện nay thì chúng ta có thể dễ dàng sử lý. Trong bài viết này tôi sẽ sử dụng phần mềm Madcad để giải hệ đó (sẽ trình bày chi tiết ở part 2). Ở đây lại phát sinh 1 vấn đề, để tìm đầy đủ tham số cho ptrinh` (2) và (3) chúng ta cần xác định Equity value (V_e) và Equity Volatility (σ_e).
Để tìm Equity value thì cách đơn giản là chúng ta lấy số lượng cổ phiếu hiện hành nhân với thị giá cổ phiếu đó
Để tìm Equity Volatility thì chúng ta cần 1 thu thập lịch sử giá cổ phiếu của công ty (tối thiểu 100 quan sát), sau đó dự đoán Equity Volatility ở thời điểm T, để làm được điều này chúng ta cần 1 số kiến thức về kinh tế lượng, cụ thể hơn là chuỗi GARCH.
Sử dụng Eviews chúng ta có thể dự báo được Equity Volatility ở thời kỳ T, chú ý đó chỉ là giá trị daily của Volatility, để hiệu chỉnh về yearly volatility chúng ta làm như sau:
Sau khi có 5 biến đó chúng ta sẽ sang step 2
Step 2: Tính khoảng cách vỡ nợ (Distance-to-default)
Trước khi tính cái này chúng ta cần xác định Điểm vợ nợ (default point DPT). Theo những nghiên cứu về KMV thì các công ty sẽ không bị vỡ nợ khi wquity= của họ đạt tới 1 mức độ nhất định của tổng nợ phải trả bởi vì cấu trúc nợ khác nhau.
trong đó STD và LTD là giá trị sổ xách của các khoản vay ngắn hạn và dài hạn. Trong thực tế chúng ta sẽ chọn
.
Từ đây thay vào công thức tìm Distance-to-default:
trong đó V_A0 là thị giá hiện tại của giá trị tài sản. DPT_T là điểm vỡ nợ ở thời điểm T, μ là lợi tức dự tính của tài sản công ty, σ_A là độ biến động hàng năm của tài sản.
Step 3: Tính xác suất vỡ nợ
Với việc giả định giá trị tài sản tuân theo hàm phân phối chuẩn, chúng ta có được công thức tính xác suất vỡ nợ trong 1 năm như sau:
Trên thực tế thì asset value có thể không tuân theo normal distribution, khi đó chúng ta chỉ cần dừng lại ở việc tính DD là đủ. DD càng nhỏ nghĩa là xác suất vỡ nợ càng lớn.
------------------------------------------------------------
Giải thích 1 chút ở giả định 2:
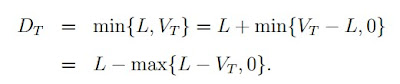
Ở thời điểm ban đầu công ty vay của NH một khoản nợ là L > 0. Đáo hạn ở thời điểm T. Gọi V_T là asset value của công ty ở thời điểm đáo hạn. Khi đến hạn thì có 2 trường hợp xảy ra, hoặc là tài sản công ty không đủ để trả nợ, tức là V_T < L, khi đó NH chỉ thu lại được tối đa là V_T Trường hợp còn lại là V_T > L, khi đó NH sẽ thu được khoản cho vay ban đầu là L. Tóm lại ở thời điểm đáo hạn (mature), dept holder thu hồi:
còn Equity holder sau khi trả nợ sẽ là:
Công thức này giống như lợi ích ròng (pay-off) của một call option kiểu Âu với strike price là L.
Khi đó có thể áp dụng công thức tính phí quyền chọn Black-Schole, value của firm'equity là:
với
trong đó N(x) là hàm phân phối chuẩn (normal distribution)
Về công thức BS bạn có thể tham khảo ở đây: http://en.wikipedia.org/wiki/Black%E2%80%93Scholes, chứng minh công thức đó cực khó nhưg điều chúng ta quan tâm là tính ứng dụng của công thức.)





No comments:
Post a Comment